
Yilan Zhang, Ming Lai, Xuebiao Deng and Zhenyu Yang*
Mater. Chem. Front., 2026, Advance Article

Wenhui Fang, Chenlin Wang, Dongxiang Luo, Jun Gao, Yuan Liu, Jingyan Liao, Sui-Dong Wang, Zhengji Xu, Zhenyu Yang, Shaolin Liao, Yuan Gao, Baiquan Liu*
InfoMat 2025, e70099.

Lixiu Zhang, Mei Zhang, Hantao Wang, Zhizai Li, Zilong Zhang, Yilong Song, Xin Song, Shurong Wang, Jingxuan Chen, Wenxuan Li, Hua Dong, Feng Wang, Yucheng Liu, Xiaoming Li, Jianyu Yuan, Wanli Ma, Yaohong Zhang, Shengzhong (Frank) Liu, Feng Gao, Zhaoxin Wu, Zhenyu Yang, Feng Hao, Kui Zhao, Zhiwen Jin, Keyou Yan, Jingjing Chang, Jing Cao, Jingjing Wang, Xiaoliang Zhang,* Qingfeng Dong,* Peng Gao,* Yixin Zhao,* Lixin Xiao,* Yong Ding, and Liming Ding*
Adv. Mater. 2025, e12221.

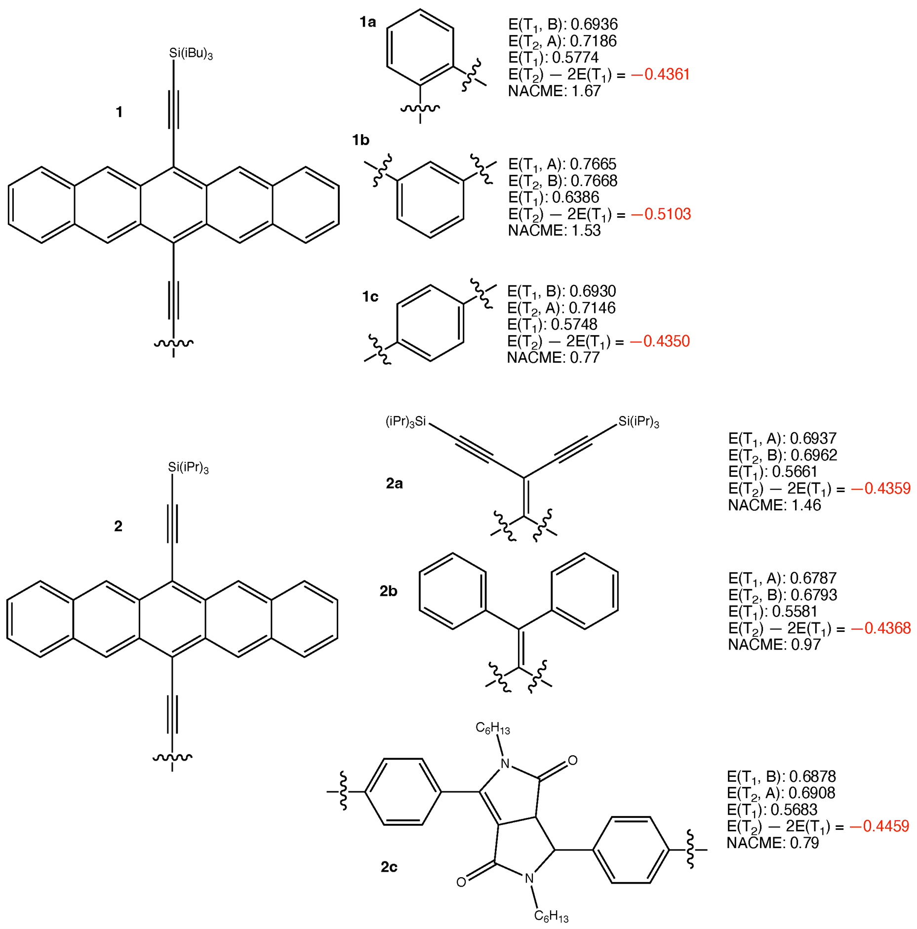
J. Li, M. Zhang, W. Li, Z. Li, T. Zhu, Z. Yang.*
Nat. Commun. 2025, 16, 6664.

M. Lin, L. Wei, X. Wang, Z. Yang.*
ACS Appl. Electron. Mater., 2025, accepted.

J. Bao, M. Lai, L. Wei, J. Li, M. Lin, Z. Yang.*
Chem. Commun., 2025, accepted.

X. Deng, Y. Zhang, G. Yao, H. Chen, L. Zhao, T. Zeng, Z. Yang.*
J. Phys. Chem. C 2025, 129, 12625.

Defei Yuan, Fa Cao, Zeyao Han, Mei Liu, Xuebiao Deng, Li Zhang, Xiao Liu, Shuang Cao, Xuan Liu, Zhenyu Yang, Zhengtao Deng, Yang Li, Oleksandr Voznyy, Quli Fan, Bin Sun,* Wei Huang**
Nano Energy 2025, 140, 111026.

W. Li, J. He, Y. Zhang, L. Ye, G. Yao, Z. Zhang, S. Li, X. Lu, H. Lu, Z. Yang.
Cell Rep. Phys. Sci., 2025, accepted.

M. Lai,† L. Wei,† M. Lin, H. Zhang, Y. Zhou, D. Wang, L. Shi, Z. Yang.*
J. Am. Chem. Soc., 2025, 147, 8125–8131.

G. Yao, E. Pradhan, Z. Yang.*, T. Zeng.*
Nano Lett., 2025, 25, 1697–1705.

G. Yao, E. Pradhan, Z. Yang.*, T. Zeng.*
Phys. Chem. Chem. Phys., 2025, 27, 4845–4857.

X. Deng, T. Zeng, J. Li, G. Yao, H. Chen, L. Xu, M. Lin, L. Wei, M. Shakouri, J. C. Yu, Y. Wang, Z. Yang.*
CCS Chem., 2024, accepted.

H. Chen, M. Lai, L. Wei, J. Li, Z. Yang.*
Sci. Sin. Chim., 2024, 54, 1399–1412.

L. Zhao, Y. Zhang, H. Chen, T. Zeng, Z. Yang.*
Chem. Mater., 2024, 36, 5788–5795.

M. Lai,† L. Wei,† Y. Huang, X. Wang, Z. Yang.*
ACS Photonics, 2024, 11, 2439–2449.

L. Zhao,† G. Yao,† H. Chen, T. Zeng, Z. Yang.*
Chem. Mater., 2024, 36, 3277–3284.

L. Wei, H. Zhang, L. Shi, Z. Yang.*
Nanoscale, 2024, 1, 6516–6521.

M. Lai,† Y. Zhang,† L. Zhao, Y. Huang, L. Zhang, W. Fu, P. Chen, X. Wang, T. Zhu,* Z. Yang.*
Angew. Chem. Int. Ed., 2023, 62, e202304056.

X. Deng, H. Chen, Z. Yang.*
J. Semicond., 2023, 44, 041101.

H. Chen,† Y. Xiong,† J. Li, J. Abed, D. Wang, A. Pedrazo-Tardajos, Y. Cao, Y. Zhang, Y. Wang, M. Shakouri, Q. Xiao, Y. Hu, S. Bals, E. H. Sargent, C. Su,* Z. Yang.*
Nat. Commun., 2023, 14, 1719.

W. Li, G. Yao, Y. Zhang, L. Zhang, S. Hu, C. Liu, B. Liu, T. Zeng, Z. Yang.*
Inorg. Chem. Front., 2023, 10, 6990–6999.

H. Chen,† J. Xu,† Y. Wang, D. Wang, R. Ferrer-Espada, Y. Wang, J. Zhou, A. Pedrazo-Tardajos, M. Yang, J. Tan, X. Yang, L. Zhang, I. Sychugov, S. Chen, S. Bals, J. Paulsson, Z. Yang.*
ACS Nano, 2022, 16, 15450–15459.

H. Chen,† M. Wei.† Y. He, J. Abed, S. Teale, E. H. Sargent,* Z. Yang.*
Nat. Commun., 2022, 13, 4438.

G. Yao,† L. Zhao,† T. Zeng, Z. Yang.*
Nanotechnology, 2022, 33, 355701.

Z. Yuan,† L. Zhao,† E. Pradhan, M. Lai, T. Zeng, Z. Yang.*
CCS Chem., 2022, 4, 855–863.

X. Deng,† X. Zheng,† T. Yuan,† W. Sui, Y. Xie, Y. Wang,* O. Voznyy,* Z. Yang.*
Chem. Mater., 2021, 33, 9357–9365.

H. Chen,† J. Chen,† L. Zhao, T. Zhu, Z. Yang.*
Chem. Commun., 2021, 57, 11553–11556.

C. Ni,† Y. Huang,† T. Zeng, D. Chen, H. Chen, M. Wei, A. Johnston, Z. Ning, E. H. Sargent, P. Hu,* Z. Yang.*
Angew. Chem. Int. Ed., 2020, 132, 14081–14087.

L. Zhao, C. Yin, T. Long, P. Hu, Z. Yang*.
Langmuir, 2020, 36, 3064–3071.

Z. Yang,* L. Ding*.
Sci. Bull., 2020, 65, 1691–1693.

Z. Yang,* C. Qin,* Z. Ning,* M. Yuan,* J. Tang,* L. Ding,*.
Sci. Bull., 2020, 65, 1057–1060.